(A prelude to a proper article about the Virtual Transition)
Motto: Measured, weighed and divided.
Principle of Virtual Transition
The Principle of Virtual Transition is used in Permanent Way alignment design to establish when a transition curve in not needed and design a sudden change in curvature.
The principle is defined in sheet B.3.4 of the Track Design Handbook – NR/L2/TRK/2049 (2010):
“The determination of maximum permissible speeds on curves without transitions involves the concept of a virtual transition.
Consider a coaching vehicle, having bogie centres C1 and C2, B metres apart, travelling at a uniform speed V km/h, from the straight on to a circular curve of radius R which is tangential to the straight at TP (see Figure 1). 
Figure 1. The principle of Virtual Transition
The vehicle moves with a uniform velocity in a straight line until the bogie centre C1 reaches TP. Here the motion of the vehicle begins to change as it passes on to the curve, and the vehicle gradually acquires angular velocity. The change continues until the bogie centre C2 reaches TP, after which the vehicle moves round the curve with uniform angular velocity.
The change of motion of the vehicle from straight to curve conditions takes place in a distance of B metres. The length B may therefore be considered as a virtual transition.
The value of B to be used is 12.2 metres which is the shortest distance between bogie centres of the British Railway coaches. Shorter wheelbase vehicles will suffer higher values of cant deficiency at switch toes and higher rates of change of deficiency elsewhere so the actual wheelbase of shorter (less than 12.2m bogie centres) passenger rolling stock should be used in speed calculations.
The value of 12.2m should not however be relaxed for vehicles with a longer wheelbase as the lateral thrust on track components becomes excessive.
Deficiency of cant is considered as being gained in the length of the virtual transition, commencing on the straight 6.1m before TP, and terminating on the curve 6.1m beyond TP.”
A similar definition can be found also in the informative Annex E of the European Norm for track alignment design BS EN 13803-2 (2006):
“This principle is based upon the assumption that a characteristic vehicle travelling over an abrupt change in curvature gains, or loses, cant deficiency (and/or cant excess) over a length equal to the distance between the bogie centres of the characteristic vehicle (B). This distance is also denoted virtual transition and is assumed to extend a distance B/2 each side of the abrupt change in curvature.”
The curvature variation over Virtual Transition
Although the Track Design Handbook, TRK2049, suggest that the principle could be also used over a variable cant zone, it is used only in areas where the cant is constant. In this case the presumed variation of the Cant Deficiency will be caused only by the curvature variation perceived at vehicle level, when passing over a point of sudden change in curvature. The angular velocity mentioned in the principle definition, is not explicitly considered a design constraint by the standard and none of the cant and alignment parameters, as they are defined today, are dependant of it.
Even though the standard does not specify how the cant deficiency varies over the Virtual Transition, in the alignment design this variation is considered linear, as for a real linear transition, the clothoid for example.
A more detailed graphical description of the principle is given in figure 2. When the reference vehicle (Figure 2.A) is passing over the straight with both its bogies, the point M (the centroid of the vehicle) is staying on the straight track centreline. As the first bogie, C1, is passing over the tangent point TP to the circular curve, the middle point M of the vehicle is describing a smooth curve of unknown curvature. After the last bogie, C2, is passing the tangent point and both bogies are running on the circular curve, the point M describes an offset of this centreline circular curve (see Figure 2.B).

Figure 2. The trajectory of the middle point of the reference vehicle when passing a sudden change in curvature (not to scale)
There are different ways to find out how the curvature varies at vehicle level over the virtual transition, either using acceptable approximate methods as the ones from the Hallade realignment theory (Radu – 2003), precise using spline polynomial equations, or even graphical methods, measuring the versines of the curve drawn by M as the vehicle is passing the tangent point.

Figure 3. Finding the curve described by M (not to scale)
When the vehicle is passing the tangent point TP (see figure 3), the point C1 describes the centerline circular arc with the following equation:
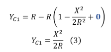
Using Taylor expansion for the square root, YC1 becomes:

Taking in to account the big difference between X and R, the boxed part of this formula is practically null. Hence, with acceptable precision, (2) becomes:

For X significantly smaller than R, as it is the case for a railway track curve, this demonstrates the equivalence between the parabola, defined by (3), and a circle, defined by (1), with a radius R equal to the distance between the focus point and the directix line of the parabola. This equivalence is known in analytical geometry as the osculating circle or the kissing circle of a parabola – circulus osculans.
A note to the reader:
The circle-parabola equivalence demonstrated here is used in railway and road design to define a “radius” for the standardised vertical parabola and to compute, for railway track, the tamper correction values.
It can be also be used, within certain limits, as a justification for using circular vertical curves instead of vertical parabolas, recommended by the design and construction standard (see TRK2102, 6.7.5 Vertical Alignment).
Using the Thales theorem for point M, placed in the middle of the segment C1-C2, YM will be half of YC1:

Considering the proven equivalence relation between the equations (3) and (1) we can understand that the parabola defined by (4) is equivalent to a circle of radius Rm = 2R.
We can say with sufficient accuracy that, as the vehicle is passing the tangent point TP, the point M is describing a circle. The radius Rm of this circle is twice the radius R of the circular centreline curve.
In the same way it can be proven that the radius Rx of the circle described by any point X on the reference vehicle, located at the distance Lx from the trailing bogie centre C2, is:

An easy, direct and more convincing way to prove this quasi-constant curvature is to check the evolution of versines in the areas of sudden change in alignment curvature (Figure 4).

Figure 4. Graphical method to find out the Virtual Transition geometry (not to scale)
The curve can be drawn graphically and the versine can be measured and converted into radius using the classical versine conversion formula:

The same exercise can be done for point N and P (see figure 2.A), placed in the reference vehicle, outside the central area.
For example, for an alignment with a 300m radius circular curve, all these points will define curves of constant versines – hence circular arcs with the following radii:
- Rm – radius for the virtual curve of point M = 600m.
- Rn – radius for the virtual curve of point N (Ln=2.1m) = 1742.7m
- Rp – radius for the virtual curve of point P (Lp=10.1m) = 362.3m
The position of the points M, N and P, at vehicle level, is shown in figure 2.A.
We are finding that the radii for points M, N and P are obeying to the general relation for Rx given by formula (5).
The curvature diagram for these three curves is shown in figure 5, referenced to the curvature diagram of the track centreline. For the points C1 and C2, the bogie centres, the curvature variation will be identical with the track – no intermediate circular arc will exist.

Figure 5. Curvature diagrams
This exercise can be done for other radii and other alignment combinations. The results are similar – the constant curvature will always be found, related to the proportion between the radii of the track alignment. This is true for the range of radii encountered in railway track design. The general form of this curve is a polynomial spline curve, but for radii above 200m and chords (vehicles) of 12-20m the curvature is practically constant, as proven here.
The influence of the bogie was not taken into account but, using the same procedure, it can be proven that each bogie will add another short intermediate constant curvature. For point M, the middle point of the reference chord – assimilated to the vehicle centre of mass – this will bring the curvature variation acceptable close to the presumed linear curvature variation, justifying the definition of the virtual transition. As we move away from the centre of the vehicle the drop in curvature is more significant. For the points located at the bogie area the curvature variation is practically identical with the track curvature, showing the same sudden change in curvature, without any significant intermediate element.
Based on the equations presented here, it can be demonstrated that the gradual acquisition of angular velocity mentioned in the definition of the Virtual Transition Principle really happens. But the angular velocity and its variation is not considered a design constraint by the track design standards and none of the cant and alignment parameters, as they are defined today, are explicitly dependant of it. Nevertheless, its significance is highlighted briefly in the informative Annex A of the European Norm BS EN13803-1(2010).
This exercise demonstrates that the theory behind the Virtual Transition is more complex phenomenon, simplified by the standard to define an easy to understand and use design constraint, similar as concept with the design constraints for a real transition.
References
- BS EN 13803-1 (2010) Railway Applications – Track – Track alignment parameters – Track gauges 1435 and wider – Part 1: Plain Line. British Standards Institution, London.
- BS EN 13803-2 (2006) Railway Applications – Track – Track alignment parameters – Track gauges 1435 and wider – Part 2: Switches and crossings and comparable alignment design situations with abrupt changes of curvature. British Standards Institution, London.
- NR/L2/TRK/2049 (2010) Track Design Handbook, Network Rail.
- NR/L2/TRK/2102 (2010) Design and Construction of Track, Network Rail.
- S1157 (2014) Track – Performance, Design and Construction. London Underground.
- Cope, Geoffrey (1993) British Railway Track – Design, Construction and Maintenance, Permanent Way Institution, Echo Press, Loughborough.
- Radu, Constantin (2003) Rectificarea si retrasarea curbelor de cale ferata (Rectification and realignment of the railway track curves). Track geometry course. Technical University of Civil Engineering Bucharest.
Discover more from A railway track blog
Subscribe to get the latest posts sent to your email.



Suppose if I have to design UP and DOWN line, to fix the minimum track spacing between UP & DOWN line, what are the factors I have to consider and how to calculate?
2) yes openrail designer output I can get transition curve radius? I’m asking for manually how to calculate half sine wave transition radius at particular point?
LikeLike
Hi, I have three questions:
How to calculate track spacing what are the factors depends ? Track spacing at straight location, track spacing different cant and same can’t location
In half sine wave transition curve type ,how to calculate radius at particular point?
when cant deficiency gradient will be role play?
LikeLiked by 1 person
Each railway administration would have preferred rules for this. In UK for normal railway track there is a defined rail to rail distance (sixfoot) of 1970mm. In Germany there is, if I remember correctly, a minimum of 4.20m (5?) Track interval for new lines. Some standards define rules for additional space in curves for cant and/or vehicle throw. For tramway or light rails the same. It depends on where are you designing your track.
Some design software are able to design full twin track corridor and apply curving rules automatically. I’m not familiar with what OpenRail can do. But my advice for it (or any other software) is to check for yourself any transition curve different from the common clothoid, cant rules included.
LikeLike
Hi Arun. What do you mean by track spacing?
For half sine, there is a curvature formula, but if you use a good design software, that should be able to produce it for you, either graphically or as a curvature report.
LikeLiked by 1 person
Hi, if we are designing transition length for curves, should we keep minimum transition value as the length of virtual transition created by the rolling stock moving on that section?
LikeLike
The minimum length of a transition depends on many factors. The VT length, in my opinion, is too short to be considered as a minimum length of an actual transition.
LikeLike
I have been waiting for this kind of questions since I wrote that article in 2015. Thank you for mentioning it and for asking these questions here. I have to say, this subject deserves a standalone article in the Journal and probably even more than that …
If we would try to apply the VT principle for that geometry and V=100 mph, for the cases I discussed before, we would get the following results:
1. L = L clothoid = 14.192 m D = 109.4 mm RcD = 344.7 mm/s (0.3 s)
2. L = sum of fragmented elements + 12.2 = 20.431 m D = 109.4 mm RcD = 239.5 mm/s (0.45s)
3. L = sum of fragmented elements, ignoring the bearing change + 12.2 = 17.451 m D = 109.4 mm RcD = 280.4 mm/s (0.4s)
4. ??? L = only VT = 12.2 m D = 109.4 mm RcD = 401.0 mm/s (0.27s)
Which one is right?
Let me say this again, I’m stating here a personal opinion.
Stepping back a bit from this problem to look at the bigger picture, I think it is essential to consider what the parameters involved here really are.
Cant deficiency – measured in mm – is in fact an acceleration, the part of the lateral acceleration not compensated by the cant. It is expressed conventionally in mm just to easily compare it with the cant. The cant is null in this case. D = 109.4 mm in all cases, is the expression of the lateral/centrifugal acceleration of the vehicle passing with 100 mph on the 2797 m radius curve.
RcD – mm/s – is not a speed but the expression of the variation of the uncompensated lateral acceleration. The principle of VT is proposing a certain (virtual/imaginary/artificial) length to calculate this when no actual, real transition is present. In fact (personal opinion, remember!) a standard time should be considered instead, a time that should take into account how that (presumed) sudden increase in lateral acceleration (cant deficiency) is attenuated by the vehicle’s suspension. Or, alternatively, and even simpler, take the EuroNorm approach and limit only the sudden change in cant deficiency, ignoring the imaginary RcD. For this case, D=109 mm. That is between the normal (100mm) and exceptional (125mm) limit for abrupt change of cant deficiency – Table 18 in the 2017 version of the norm.
Now, if we return to our problem, I’ve added above, in brackets, the time the vehicle at 100 mph requires to pass over that imaginary element (virtual transition) we consider to make these calculations. In all four cases that time is less than half a second. How can then speak about 400 mm per second… [or 280 or 240] when in fact we have about a third of a second passing time over that virtual element?
The principle of VT creates in these cases absurdly high figures for RcD which we, the design engineers, and not only us, find difficult to comprehend and justify. For plain line, a design with half these figures would be aggressively rejected as dangerous, ‘derailmentish’, isn’t it?
To make this more dramatic – try to imagine a cant design that would replicate the figures we have here. Take case 3, imagine a 17.5 m long cant transition for a cant going from 0 to 110 mm. That gives the same rate of change, now for cant, RcE= 280 mm/s. And the cant gradient is … 1:187 – we’re talking ‘flying’ trains here. But no train flies out of track when passing at 100 mph over that turnout if the cant is null… why? (I made a purposeful confusion here)
In summary, in my very personal opinion, the principle of virtual transition should not be applied in these cases and an alternative, well justified, technical solution should be used.
And that would be the answer to your last question also …
All these just personal opinions! Don’t quote me on this.
LikeLike
Hi Constantin,
Thanks for your comprehensive reply – I guess the question is which of your options is the best?!
Looking at EN 13803-2 Annex E.2, it effectively aligns with your option 3. You assume the change of cant deficiency takes place of a distance equal to the sum of the real clothoid + the VT length.
Interestingly for the NR60H switch in question, this brings the RCD at the toes down to 280mm/s (from 401mm/s when assuming a 12.2m VT with an instantaneous change into the switch radius). This would bring the RCD values within the limits specified in Table 2b of the standard.
I’m interested to know why the limiting values for RCD in Table E.1 do not appear to align with the derived RCD values from Table 2b when using the VT principle (something you did in your October 2015 article in the PWI Journal)
LikeLiked by 1 person
Hi Andrew,
Excuse my late reply. Tricky question … my answer is just a brief personal opinion.
Ideally, the shape of the switch should be a curve/clothoid tangent to the main track geometry – straight or curved. But that would require a very thin switch rail at the toe, which is not reliable in real life conditions.
The geometry of the switch rail is dictated by manufacturing, reliability and maintenance constraints. Before getting in contact with the wheel the switch rail needs to have a certain thickness. That imposes a shift + a bearing change + particular geometry to be designed in the actual geometry of the switch toe section.
Also, the stock rail has a joggle to allow the switch variable thickness and geometry.
Looking from track geometry rules perspective, the principle of virtual transition is applied for any design elements equal to or shorter than the VA length – 12.2 m (see TRK2049 Mod 2 – Mathematics, B1.1).
I have attached a sketch of the NR60H switch layout.
The clothoid length is 14.192 m (AB) – based on the shift of 3 mm.
Instead of this, the actual switch geometry is a 2.980 m straight tangent to a 5.251 m section of clothoid.
If I understood the standard drawing correctly, the curvature diagram is as in the sketch.
However the actual difference between the (AB) clothoid and the compound shape (ATCB) is very small. The shift of that clothoid is 3 mm and the ordinate y of the clothoid at T is 0.89 mm. Yes, 0.89 mm – that is the maximum difference between the clothoid AC and the two straight segments AT-TC … We can actually say that AB and ATCB are practically the same.
How is this layout considered in the calculations (if we need to do any)?
Well … honestly, I don’t know – subjective decisions and preferences come in place here.
You can do any of the following:
1. Consider the full clothoid length 14.192 m – as there is no practical difference from AB to ATCB.
2. There is a tiny bearing change at T. If we apply the VT principle we should have a VT length = 12.2/2 + 2.98 + 5.251 +12.2/2 = 20.431 m
3. Ignore the too small bearing change at T and consider only the clothoid segment TC – practically presuming that A, T and C are co-linear. VT for this will be 12.2/2 + 5.251 + 12.2/2 = 17.451 m.
4. ?
PS: Have a look at the design principles presented in EN 13803-2.
LikeLike
Hi Constantin,
I’m interested to know how you apply this theory to clothoid transitions at switch toes (such as in NR60 geometry).
For instance, the NR60 H switch has a straight tangent from the stock rail of 2,980mm, before a 5,251mm clothoid transition into a switch radius of 2,797,591mm.
I can simplify by just assuming the vehicle has a standard virtual transition into the switch radius, but I don’t know how you apply both the straight tangent and subsequent clothoid into the calculations.
The assumption of constant curvature throughout the virtual transition clearly no longer applies in this instance, but given the total length of ‘the bits in between’ is less than 12.2m, I’m confused as to how it’s calculated.
Thanks
LikeLike