All the railway networks have design rules for marking the limit from which it is safe to stable a vehicle on a line, without the risk of obstructing the train passage on the other line of an S&C (turnout or whatever other arrangement).
In the UK this limit comes in a pair – Fouling Point and Clearance Point. In other countries it is called Shunting Limit, Safety Mark, Limit Sleeper or some other interesting name.
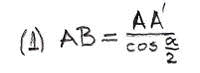
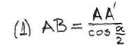
For the UK railway network, the Fouling Point is placed at the points where the distance between the closest rails is S=1970mm (standard sixfoot). There are also some other rules, but I will refer only to the one sketched below – AA’ = BB’ = S = 1970mm.
Sometimes we see this marked as one of the perpendicular lines – the one that is perpendicular to the through route of the turnout – AA’ for example. You could argue that the difference is not that relevant … Let’s see.
If it is to mark the Fouling Point at the correct location AB, this length can be calculated using (1).
For a crossing angle of 1:9.25 and straight crossing, AB comes as 1973mm – not very much different from 1970mm.
But if we mark this as AA’ instead of AB, how far behind is A’?
To calculate A’B we can use the equation (2):
For the same crossing angle and geometrical arrangement, A’B = 106mm … Oh, yes!
106 mm is not negligible.
We should mark this point right, right?
But, wait!
Why are we calling this line a point?
Where is this point? (recalling past life memories … not design advice)
Well, the point is where those two perpendicular lines meet …
The vehicle box is perpendicular on the line it runs and not on the other, so that is the meaning of the perpendicular lines.
In fact, if it is to split the hair even thinner than this, the point should be where the two rails, offseted by S/2, meet.
But this is hair splitting indeed.
It is better to have a bit more space and use the line as the fouling point.
Discover more from A railway track blog
Subscribe to get the latest posts sent to your email.








