I have discussed here the principle of Virtual Transition, used in the UK and in other countries with British inspired track design principles, to evaluate the changes of the cant parameters at the points where the curvature changes suddenly, without the use of an actual, real transition curve.
This method of calculation is not however universal.
It is in fact in minority, as most of the railway administrations around the world do not rely on this principle and use instead another.
The alternative to “Virtual Transition” consists in evaluating the sudden change in cant deficiency at the point where the curvature changes, without a transition curve being present.
A common version of this approach is defined in the European Norm for Track Geometry – EN 13803 (2017) – Track alignment design parameters – Track gauges 1435 mm and wider.
The norm calls this “the abrupt change in cant deficiency”. This is used for sections that include S&C (turnouts or other types of switches and crossings) or for sections of tight plain line geometry, where it is impractical to use transition curves.
This evaluation is done by calculating the maximum abrupt change in cant deficiency (ΔD) over a defined length Lmin.
This minimum length Lmin is defined by the speed for which the calculation is done.
This is in fact one of the two main differences to the principle of Virtual Transition, where the length used to check the cant deficiency change is constant, independent of speed. The other … I’ll comment on it later.
When the distance between the two curvature changes is greater than Lmin, the two curves are treated separately, checking each cant deficiency separately.
We have four geometrical cases for which this evaluation is required:
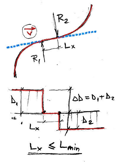
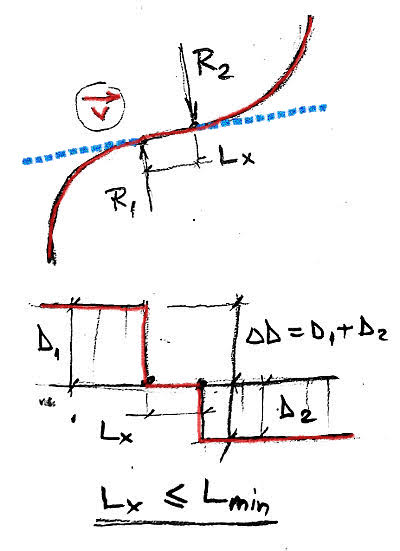
1. Reverse circular curves without intermediate element
The cant deficiency diagram shown in the sketch indicates the maximum abrupt change of cant deficiency, ΔD = D1 + D2
Note that, for all these cases, the cant deficiency is considered in its absolute value, with no sign association.
If this abrupt change, ΔD, is greater than the standard limit, then an intermediate element is required between the two reversing curves. This does not necessarily need to be a straight, as sketched below.
2. Reverse circular curves with a short intermediate element (straight or flatter curve)
If Lx ≤Lmin, the abrupt change of cant deficiency is calculated as ΔD = D1 + D2.
If the length Lx is greater, then each change can be treated as a separate abrupt change. In that case, the two curves can be tighter than the ones constrained by this rule.
3. Similar flexure curves with a short intermediate element (straight or flatter curve)
In this case, if Lx ≤Lmin, the sudden change of cant deficiency is calculated as the maximum of the two D values ΔD = max(D1 , D2).
Again, if the length Lx is greater, the two tight curves can be treated as separate elements from this rule’s point of view. I’m not sure if I used here right the possessive apostrophe.
4. Similar flexure curves without intermediate element
From this rule point of view, this case is in fact better than the previous one, as the abrupt change in cant deficiency is ΔD = |D1 – D2|
Abrupt change of cant deficiency at turnout toes
A particular application of this rule is when the curves we described above are in fact the turnout routes of separate S&C/turnouts.
Case 2 becomes this:
And case 3 becomes this:
In the European Norm, the speed V used to calculate Lmin is the common turnout speed for the layout and not the mainline speed.
However some railway administrations prefer a more conservative approach for toe to toe turnout arrangement, imposing Lmin dependant of the maximum mainline speed. It is important to remember this when comparing the rules defined in different standards.
National variations
Below are a few examples of this rule from a few standards I had easily available to quote. These examples are not necessarily complete and up to date and they are quoted only as high level information.
European Norm – EN-13803 – (2017) – Track alignment design parameters – Track gauges 1 435 mm and wider.
France – for their high speed lines (LGV) a distance Lmin=0.5 V is required between turnout toes, independent of how low the abrupt change in cant deficiency is. V is the common turnout speed. (acc to: IN3278 – Référentiel Technique pour la réalisation des LGV).
I don’t know if the rule is different for lower speed lines.
Belgium – The Belgian standard has an interesting approach to speed classification and line function. The alignment design limits are dependent on these.
The Belgian track standard was for me a revelation – I’ll try to comment a few things I’ve learn from it, when I find the time.
Denmark – No limit to ΔD. Any abrupt change needs to comply to this rule (acc to: Sporregler 1987 – May 2017)
Germany – A similar approach is found in the German standard 800.0110. Interesting approach in this case is that above 100km/h the limit for abrupt change in cant deficiency is linearly interpolated depending on speed.
Israel – The Israel rules in this case are matching the German standard.
Romania – Several countries from the former communist block, Romania included, have their pre-EN-13803 design rules for this case separated in two, one for minimum length of constant curvature element, and another for toe to toe turnout distance. For the latter the condition is distinct, for comfort reasons, for lines assigned for passenger traffic.
Lmin is accepted to be null, for freight lines. Although ΔDlim is the same, 70mm, the implication of zero length is a reduction of the speed over the toe-to-toe turnouts to V ≤ 1.72 √R̅. When a Llim segment is inserted between the toes, the turnout speed is V ≤ 2.4 √R̅, R being the turnout radius, equal for the two in this case. Yes, I typed the square root.
These are the standards that I had in hand when I wrote this post. I’ll try to integrate more, as I find more data. You, dear reader, are welcome to contribute, ideally by quoting the rule and sharing a snapshot of the section of national standard that refers to this rule (if that does not represent a national copyright infringement).
Quite a diverse approach, but with clear similarities and a clear core principle.
Discover more from A railway track blog
Subscribe to get the latest posts sent to your email.

















Amazing as always, Constantin, was this a response to the latest NR standards Update NR/L2/TRK_2102 Issue 12 Abrupt change at switch toes ?
LikeLike