Ten years ago, one of my first British friends asked me “Why 4°?”
The Clothoid is by far the most used transition curve for railway and highway alignment design.
I wrote about this marvelous curve in an old article on this blog – here.
Although the Clothoid is the ideal transition for linear variation of curvature, before the age of computer aided design it was a very difficult curve to compute. That because most of the Clothoid equations have infinite terms and their manual calculation implied the use of log tables (if you don’t know what those are, you’re lucky! Enjoy your Excel!).
Because of this main downfall, the railway and highway engineers have looked for an alternative transition curve, simpler to calculate.
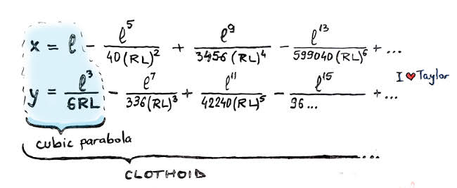
The very first and simplest alternative was to use only the first term of the Taylor series, for X, Y, shift and any other infinite formula the Clothoid has. I am so tempted to add a Taylor series meme here… But I leave to you, dear reader, the pleasure to search it on the web.
This set of first terms defines the next most used transition curve – the Cubic Parabola.
There is some practical logic in this simplification. For a radius of 500m and a transition curve length of 50m to a straight, at the tangent point to the circular arc, the second term for X is -0.25mm and for Y is -0.18mm. Those next terms are infinitesimal most of the time. Who needs infinity anyway?
For most of the practical purposes, we can very well replace the Clothoid with the Cubic Parabola. Can we?
Our wise grandfathers noticed however that there are some issues with this Cubic Parabola (See Glover -1900 and Mort – 1913 linked in the References).
One obvious issue is that the Cubic Parabola has a flat S shape; the instantaneous radius of the parabola (yes, a parabola has radii – don’t get me started again on that) decreases from infinity at the origin O to a minimum radius Rmin somewhere very close to the start, and then increases again to infinity towards both ends of the curve.
The point M where the radius is minimum is defined by a direction angle of approximately 24° – see references for demonstrations on how this angle is calculated.
If we represent the curvature diagram of the cubic parabola, with reference to the sketch above, we have this:
If we want a transition with constantly decreasing curvature from straight to the circular radius, then we can use the cubic parabola only on the section OM.
If, however we want the curvature variation to be truly linear, we need to stop using this transition before that, to a point N where the cubic parabola curvature variation from linear, Δρ, is acceptable.
Some countries have tried to define improved formulas for the cubic parabola, solving to a certain degree some of the issues this curves has. But no improvement I know of has solved the Rmin issue.
The only solution for that is to limit the usage of the cubic parabola to a bespoke ON range, imposing tighter limits for the deviation angle,φ, significantly smaller than 24°. Some countries limit the deviation angle φN to 10°, other to 10g .
In the UK the limit for φN is 4° (See NR/L3/TRK/2049 Mod 2. B.4.1. φN is labelled α in the Network Rail standard).
Why is this so strict on British railways?
Because the pre-CAD use of this simplified curve in the calculation of transitioned S&C. (Yes! Parabolic turnouts!).
When placed on curves, the transitioned turnouts are not using a transition segment starting from origin O, but further away on the parabola, closer to N. Bending that transition on a curve pushes the limit beyond the chosen position for N on a straight placed turnout.
See what you made me do?!
That’s the explanation for 4°!
Sorry for the late reply and for the inaccurate sketches!
Or was it MacLaurin?! It’s been more than 30 years and I still read this name with my Maths Prof accent.
References:
R1772A (19XX) Transition Curves. (Cubic Parabola). Permanent Way Notes. Chief Engineer Officer. Paddington.
Glover, J (1900) Transition Curves for Railways. Minutes of the Proceedings of the Institution of Civil Engineers, Volume 140 Issue 1900, 1900, pp. 161-179, PART 2
Mort, H. S. (1913) Transitioned curves for Tramway. Sydney University Engineering Society.
Racanel, I. (1987) Drumuri moderne. Racordari cu clotoida. (Modern roads. Clothoidal transitions). Editura Tehnica, Bucharest. Romania.
Radu, C. (2001) Parabola cubica imbunatatita (Improved cubic parabola). Technical University of Civil Engineering Bucharest.
Radu, C., Ciobanu, C. (2004) Elemente referitoare la utilizarea parabolei cubice imbunatatite (Elements related to the use of the improved cubic parabola). Third Romanian National Railway Symposium, Technical University of Civil Engineering Bucharest. Romania.
Discover more from A railway track blog
Subscribe to get the latest posts sent to your email.








Thanks for your comment.
All the cubic parabolas will have a minimum radius, and for all that should be around that critical angle of 24°.
The various definitions for track alignment transition scale, in one way or another, the parabola curvature, to get matching radii with the circle they are tangent to. I believe it is the same with the Australian definition of the cubic parabola.
LikeLike
What about the NSW parabola?Does it have a minimum readius?Thanks.
LikeLiked by 1 person