If we consider a circular curve of radius R2, tangent to a straight and mark the offsets O1, O2 and O3, measured perpendicular from the circle to the straight and placed at regular C/2 interval we will get something like this:
The offsets O1 and O3 are the bases of a trapezoid and O2+V2 is the median.
We can hence express V2 as:
But V2 is also the versine of the circle of radius R2
Now, let’s bend the straight into a curve of radius RM .
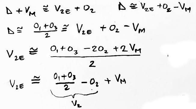
The median segment is formed of two sets of segments D + VM = V2E + O2
D is the median of the new trapezoid defined by O1 and O3.
The unknown radius R2E can be found if we know the versine V2E.
But we now know that
hence R2E can be expressed as
where each versine can be replaced with its equivalent formula
and if we simplify C2 we get this nice formula of the equivalent radius for similar flexure bending:
If the straight would be bent opposite to the flexure of the R2 radius, the same calculation would give us this formula of the equivalent radius for contra-flexure bending:
References:
Cope, Geoffrey H. (1993) British railway track: design, construction and maintenance. Permanent Way Institution. (In the book there are no sketches. Do you see why?).
Discover more from A railway track blog
Subscribe to get the latest posts sent to your email.
















